La sinergia antioxidante de Balrogs, Trasgos y Ella-Laraña

Cuenta la versión oficial de «El Hobbit» que la Flecha Negra era la última flecha que le quedaba a Bardo en su carcaj cuando defendía la Ciudad del Lago del ataque del dragón Smaug. Aconsejado por el viejo zorzal, quien había escuchado el diálogo de Smaug con Bilbo Bolsón, Bardo apuntó esta última oportunidad al lado izquierdo del pecho del dragón. Esa era el punto en el que la armadura de piedras preciosas y oro de Smaug era más vulnerable. La Flecha Negra que derribó a Smaug no era un flecha cualquiera, sino un arma de considerables cualidades mágicas y de poder gigantescamente superior al de una flecha normal. Según la leyenda cuando esa Flecha alcanzó la suave piel de Smaug, se extinguió el último de los dragones de la Tierra Media.

Smaug

Smaug

Sin embargo, todo esto es una patraña difundida por los niñatos de la Tierra Media para sembrar dudas entre mis tropas, las del gran Sauron. En realidad la Flecha Negra es la enzima polifenoloxidasa, responsable del oscurecimiento de frutas y hortalizas… de ahí su nombre. La idea de destrozar a una de las criaturas preferidas del Señor Oscuro con una Flecha Negra no era mala… pero no contaban con mi astucia para inactivar la Flecha Negra, es decir, polifenoloxidasa.

Como ya les he comentado en entrada anteriores, el pardeamiento enzimático es llevado a cabo, en sus dos primeras etapas, por una enzima llamada polifenoloxidasa que se encuentra generalmente en los cloroplastos de las células vegetales. Esta enzima, a través de dos pasos, convierte los monofenoles presentes en las vacuolas de dichas células en difenoles y, posteriormente, oxida estos difenoles a ortoquinonas. Finalmente, y a través de una reacción química, las quinonas se convierten en esas manchas oscuras (melaninas) que todos hemos visto en manzanas, patatas, peras, etc. En el siguiente esquema pueden ver el mecanismo de actuación de la Flecha Negra, perdón de polifenoloxidasa.

31

Pero la verdad de lo ocurrido es muy diferente. Smaug sigue vivo. Para contrarrestar la acción del arquero Bardo y de su Flecha Negra mis tropas emplearon una triple estrategia que inhibiera el pardeamiento enzimático del dragón Smaug. Este contraataque de los ejércitos de Sauron fue tan brillante que ha merecido ser publicado en una de las principales revistas científicas del campo de la Ciencia y la Tecnología de los Alimentos. Atentos a lo que van a leer.

1.- El escaldado de los Balrogs

La primera de estrategias tenía como objetivo “destrozar” a la enzima responsable del pardeamiento enzimático. Tradicionalmente se ha logrado “destruir” la acción de enzimas que deterioren a los alimentos mediante el escaldado de los mismos. En el escaldado se introducen a los alimentos en agua hirviendo durante un periodo breve de tiempo (entre 10 y 30 segundos). Esas altas temperaturas producen la destrucción de la estructura tridimensional de la enzima. Pues bien, yo, el gran Sauron, ordené que para destruir polifenoloxidasa entraran en acción los Balrogs, mis criaturas demoníacas preferidas.

Balrog

Balrog

Como “todos” ustedes conocen los Balrogs son Maiar al servicio de Melkor y Sauron que tienen la habilidad de controlar el fuego, la oscuridad y las sombras…precisamente lo que se necesita para inactivar polifenoloxidasa y por tanto el oscurecimiento enzimático. Como jefe suyo que soy, ordené a los Balrogs que usaran sus enormes espadas de fuego para destruir a la Flecha Negra. Sin embargo, surgió un problema.

A pesar de que las altas temperaturas usadas en el escaldado son suficientes para alterar la estructura de esta enzima presente en infinidad de alimentos, el calor también puede destruir cualquier nutriente termolábil. Este hecho no interesa en la industria alimentaria ya que al destruirse nutrientes por altas temperaturas desciende el valor nutricional del alimento. Por todo ello ordené a los Balrogs que bajaran la temperatura de sus “espadas escaldadoras”. Este descenso en la temperatura fue capaz de alterar la estructura de la enzima polifenoloxidasa pero no de inactivarla por completo… por lo que hacía falta la intervención de otro de mis ejércitos que terminara lo que los Balrogs habían comenzado: destruir a polifenoloxidasa.

Polifenoloxidasa

Polifenoloxidasa

2.- La encapsulación molecular de Ella-Laraña

En vista que el ataque directo a la flecha negra mediante la inhibición a altas temperaturas de la estructura terciaria de polifenoloxidasa no fue suficientemente efectivo para destruirla, opté por un ataque indirecto. Para ello, como buen Ojo sin Párpado que soy, me fijé en la diana de la Flecha Negra. Me refiero a los sustratos primarios de la enzima, los monofenoles que ustedes pueden ver en el esquema de reacción anteriormente mostrado presentes en muchos alimentos… y también presentes en la piel de Smaug donde se debía clavar el arma lanzada por Bardo.

Si lograba esconder esos monofenoles la Flecha Negra, es decir polifenoloxidasa, no sabría donde clavarse en la piel del dragón.

¿Y qué utilicé para esconder los sustratos de polifenoloxidasa? El poder encapsulante de Ella-Laraña, la última de las hijas de Ungoliant. De todos es conocido que Ella-Laraña tenia una gran madriguera en Cirith Ungol, y durante dos Edades de la Tierra Media vivió alimentándose de Hombres, Elfos y Orcos. ¿Cómo hacía para capturarles? Pues los atrapaba en su tela de araña. ¿Y qué compuesto es el que mejor atrapa casi todo tipo de moléculas? Mis queridas ciclodextrinas, los agentes encapsulantes más poderosos que pisan las Tierras de Mordor y que se comportaron como verdaderas arañas.

Laraña

Ella-Laraña

Al añadir las ciclodextrinas a diversos alimentos, como por ejemplo los zumos, los monofenoles quedan atrapados en atrapan en su cavidad interna de la misma manera que Ella-Laraña atrapa en el interior de su tela a sus víctimas. El resultado es que la Flecha Negra disparada por Bardo no puede activar el pardeamiento enzimático del dragón Smaug ya que no logra clavarse en el monofenol. Al no alcanzar polifenoloxidasa a su sustrato primario no se forman las ortoquinonas que dan lugar a los pigmentos coloreados. Todo este proceso provoca que el color original del alimento, es decir de Smaug, se mantenga más tiempo.

Ciclodextrna encapsulando sustrato de polifenoloxidasa

Ciclodextrina encapsulando sustrato de polifenoloxidasa

En la siguiente figura se puede observar el efecto de la adición de distintas concentraciones Ella-Laraña, digo de ciclodextrina, a un zumo de manzana durante los primeros 60 minutos de su procesado. Como se puede apreciar, elevadas concentraciones del agente encapsulante llegan a ralentizar drásticamente la evolución de la variación total de color del zumo de manzana (∆E), parámetro íntimamente relacionado con la degradación del color en este tipo de zumos y que se obtiene usando uno de los colorímetros situados en los laboratorios de mi Torre de Barad Dur.

Efecto de la adición de distintas concentraciones de maltosyl-B-CD sobre ΔE* del zumo de manzana a 25ºC. no maltosy-B-CD (●); 30 mM (○), 60 mM (■) and 90 mM (□)

Efecto de la adición de distintas concentraciones de maltosyl-B-CD sobre ΔE* del zumo de manzana a 25ºC. no maltosy-B-CD (●); 30 mM (○), 60 mM (■) and 90 mM (□)

Sin embargo, y al igual que ocurrió con el escaldado de los Balrogs, me topé con un nuevo inconveniente. La encapsulación de monofenoles en la tela de Ella-Laraña tampoco logró detener definitivamente el avance de la Flecha Negra y, el pardeamiento enzimático de Smaug. ¿La razón? Que las ciclodextrinas no atrapan totalmente a los monofenoles en su interior sino que los van liberando poco a poco al medio de reacción mediante un proceso de libración controlada. Por ello aunque el pardeamiento se ralentice mucho, con el paso del tiempo los sustratos de la reacción enzimática son oxidados por la Flecha Negra.

Como se puede apreciar en la figura anterior incluso a la mayor concentración de ciclodextrinas (cuadrado blanco) no se logra inhibir totalmente el pardeamiento enzimático. Había que buscar una tercera estrategia.

3.- El poder antioxidante de los Trasgos

Ni las “espadas escaldadoras” de los Balrogs habían destrozado a la enzima polifenoloxidasa ni la encapsulación molecular de Ella-Laraña había logrado detener el paso de monofenoles a difenoles. Para solucionar este grave problema llamé a uno de mis ejércitos favoritos: los Trasgos. La orden que les dí fue clara. Tenían que lograr que los difenoles formados en la primera reacción no se transformaran en ortoquinonas, las precursoras de los polímeros coloreados. Era mi última oportunidad.

Trasgo

Trasgo

Existe una gran polémica respecto a si los Trasgos y los Orcos son simplemente sinónimos, o si se refieren a razas diferentes. En realidad se considera a los Trasgos como una raza de Orcos de pequeño tamaño, pero de gran poder, que habita en las profundidades de las montañas. La razón de tener que estar en oscuridad es que son terriblemente sensibles a la luz del sol y no pueden exponerse a ella.

Como “todos” se podrán imaginar el poder de un Trasgo y su enorme sensibilidad a la luz hacen que se les conozca también como el “Ácido Ascórbico de las Tierras de Mordor”. La similitud es clara: el ácido ascórbico es uno de los más poderosos antioxidantes existentes en la naturaleza pero también es terriblemente sensible a la luz por lo que debe guardarse en oscuridad. Blanco y en botella. Un ejercito de Trasgos es una disolución de ácido ascórbico. No hay más vuelta de hoja.

Para que puedan seguir correctamente esta historia friki-científica vuelvo a mostrarles el esquema de reacción de pardeamiento enzimático. Fíjense ahora como el paso de difenol a ortoquinona es, en realidad, una reacción de oxidación en la que los grupos hidroxilo de los difenoles se oxidan a grupos carbonilo. Pues bien, una forma de retrasar el pardeamiento enzimático es impidiendo el paso del difenol a ortoquinona usando agentes antioxidantes como es el caso del ácido ascórbico.

31

Por esta razón yo, también conocido como el Nigromante, envié a mis trasgos, digo al ácido ascórbico, a detener el paso de difenoles a ortoquinonas. De esta forma arruinaría el plan del arquero Bardo y su Flecha Negra no sería capaz de oscurecer y matar al dragón Smaug.

En los laboratorios de mi Torre de Barad Dur observé como al adicionar una concentración de ácido ascórbico de 2.28 mM a un zumo de pera se para totalmente el parcelamiento enzimático durante 30  minutos . La causa es que no se forman ortoquinonas, ni por tanto compuestos coloreados, gracias a la acción antioxidante del ácido ascórbico.

¿Batalla ganada? Pues no. Su gran acción antioxidante le pasa factura al ácido ascórbico. A la misma vez que impide el pardeamiento enzimático, el ácido ascórbico se oxida a ácido dehidroascórbico, perdiendo su capacidad antioxidante. Cuando ya no existe ácido ascórbico en el medio de reacción al haberse transformado en ácido dehidroascórbico, desaparece la capacidad antioxidante. En ese momento los difenoles se oxidan y las ortoquinonas y las melaninas comienzan a acumularse. El resultado es demoledor: el zumo de pera, o sea el Dragón Smaug, rápidamente se oscurece.

presentacion-carbohidratos-33-638

Resumiendo: los trasgos son capaces de defender al dragón Smaug durante un tiempo pero cuando pierden su poder antioxidante necesitan ayuda para inhibir la acción de la Flecha Negra.

Estimados lectores, yo, el Señor Oscuro de Mordor, el Gran Ojo sin Párpado, el Nigromante, el verdadero Señor de los Anillos, estaba en grandes dificultades. Ninguno de mis tres ejércitos (Balrogs, Ella-Laraña y Trasgos) había sido capaz de detener por sí solo a la Flecha Negra de Bardo. Ni el escaldado, ni la encapsulación de polifenoles, ni el poder antioxidante del ácido ascórbico, fueron capaces de frenar el pardeamiento enzimático.

Sin embargo, y cuando todo parecía perdido, se me ocurrió una brillante idea… como no podía ser de otra forma viniendo de mí.

Mis tres ejércitos actuando simultáneamente

Mis tres ejércitos actuando simultáneamente

En lugar de poner a los tres ejércitos por separado a luchar contra polifenoloxidasa, decidí juntar en el campo de batalla a Balrogs, Trasgos y Ella-Laraña. ¿Y qué pasó? Que saltó la sorpresa. Cuando nadie daba un duro porque mis tropas se llevaran bien entre ellas, apareció la sinergia entre mis dos de mis ejércitos. El efecto conjunto del poder antioxidante del ascórbico junto al poder encapsulador de las ciclodextrinas era mayor que la suma de los dos poderes individuales. O dicho de otra forma: la acción conjunta de Ella-Laraña y Trasgos contra la Flecha Negra fue más efectiva que la suma de sus acciones individuales.

El mecanismo de acción de esta acción sinérgica, descubierto por Sauron junto con el grupo de Bioquímica y Biotecnología enzimática de la Universidad de Murcia, era revolucionario. Al encapsular las ciclodextrinas a los monofenoles, ralentizando su paso a difenoles, el ácido ascórbico presente en el medio mantiene durante más tiempo su acción antioxidante ya que no se transforma tan rápidamente a dehidroascórbico. Desde ese día se conoce a las ciclodextrinas como “antioxidantes secundarios”. La consecuencia era una inactivación casi total del pardeamiento enzimático. Brutal.

En la siguiente imagen pueden observar el mecanismo de actuación del ácido ascórbico y de las ciclodextrinas como antioxidantes secundarios en la reacción de oscurecimiento del zumo. A Sauron se le saltan las lágrimas.

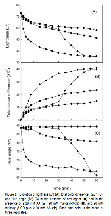
Captura de pantalla 2015-04-30 a la(s) 09.14.06 En la siguiente figura se puede observar la evolución de distintos parámetros colorimétricos del zumo de pera (∆E que mide la «variación total de color»;  L que mide la «luminosidad» y H que mide el «tono») en cuatro condiciones:

– ausencia de cualquier agente: círculos negros.

– presencia de ácido ascórbico (o Trasgo): triángulos negros.

– presencia de ciclodextrinas (o Ella-Laraña): cuadrados negros.

– presencia de ácido ascórbico+ciclodextrinas (o Trasgos+Ella-Laraña): rombos negros.

Fíjense en la gráfica C correspondiente a las variaciones del ángulo Hue (mide la variación en el tono del color del zumo). Los rombos negros correspondientes a la acción conjunta de las ciclodextrinas y el ácido ascórbico sobre el tono del zumo de pera no muestran variación alguna en 60 minutos. Además, la imagen muestra claramente la existencia de un efecto sinérgico entre el ácido ascórbico y las ciclodextrinas (la evolución del color es menor en la acción conjunta que en al suma de acciones individuales).

Captura de pantalla 2015-04-28 a la(s) 22.48.02

Estos resultados, unidos a los obtenidos con un ligero calentamiento en el proceso de escaldado llevado a cabo por las espadas de fuego de los Balrogs, fueron suficientes para detener significativamente el pardeamiento enzimático y salvar al Dragón Smaug de la Flecha Negra de Bardo. La estrategia de Sauron de juntar a mis tres ejércitos había funcionado.

Queridos amigos de la Tierra Media, ¿De verdad creían que un simple arquero iba a poder destruir a una de mis bestias favoritas? ¿Se les pasó por la cabeza alguna vez que una banda de enanos comandados por un tal Thorin “escudo de roble” iba a desposeer de sus tesoros a un enorme dragón con enormes alas de murciélago, una piel de impenetrables escamas de la dureza del acero y una inteligencia superior a la de la mayoría de dragones en la Tierra Media?

Pues todo eso no solamente no ocurrió sino que la brillante estrategia de poner a mis tropas a trabajar conjuntamente para retrasar el pardeamiento enzimático manteniendo las propiedades nutricionales de los alimentos le encantó al editor de la revista Journal of Agricultural and Food Chemistry y decidió publicarla. Con Sauron no se juega.

Dragón de pera oxidado (izq.) ; Dragón de pera sin oxidar (der.)

Dragón de pera oxidado (izq.) ; Dragón de pera sin oxidar (der.)

Jose

Fuente: López Nicolás, J.M. and García-Carmona, F. Use of Cyclodextrins as Secondary Antioxidants to Improve the Color of Fresh Pear Juice. J. Agric. Food Chem. 2007, 55, 6330−6338

* El resto de artículos de la serie «La Ciencia de El Señor de los Anillos» pueden leerlos pinchando en este enlace.

Esta entrada fue publicada en Biología, bioquímica, Divulgación científica, Gastronomía, Nutrición, Química y etiquetada , , , , , , . Guarda el enlace permanente.

12 Responses to La sinergia antioxidante de Balrogs, Trasgos y Ella-Laraña

  1. Avatar de kain31 kain31 dice:

    asi da gusto aprender. Y ademas, alucino con la cantidad de usos de las ciclodextrinas.

  2. Tremendo… enhorabuena al señor oscuro.

  3. Brillante, pero ¿Eres consciente de lo increíblemente didáctico que es todo esto?

  4. Avatar de perlita1 perlita1 dice:

    Mmmmm ¡genial descripción! Ya decía yo mientras leía, que el limón estaba faltando ahí…porque cuando hago postre de manzanas trozadas, les añado limón y así evito la oxidación…lo mismo hago con el aguacate.

    Me encantó esta explicación, y aprendí muchísimo. Felicitaciones.

  5. Pingback: La sinergia antioxidante de Balrogs, Trasgos y Ella-Laraña

  6. Pingback: Resumen Scientia [Abril 2015] | SCIENTIA

  7. Gracias pero confesad: pensais todos que mi cabeza no está muy en su sitio…¿verdad? 😉

    • Avatar de Vicent Vicent dice:

      Mi señor de Mordor, servidor de Melkor. Usted ha realizado una investigación muy interesante y este pequeño artículo es todo un placer leerlo.

      Por lo demás, ¿Que más encomienda el Ojo?

  8. Pingback: Enlaces casi diarios - Filé Aesir

  9. Pingback: Los 10 “mejores” posts del 2015 (enero-julio) | SCIENTIA

  10. Pingback: Los 10 mejores posts del 2015 (agosto-diciembre) | SCIENTIA

Deja un comentario