Dicen que la venganza es un plato que se sirve frío. El mío, por el tiempo que hace que llevo aguardando a servirlo, ya está helado…pero la espera ha merecido la pena. Si hay una rama de la Ciencia que odio esa es, sin duda, la Microbiología. Durante años he estado agazapado esperando que la susodicha flaqueara por algún sitio para meterla en vereda…y lo ha hecho, vaya que si lo ha hecho…y aquí va mi respuesta a tantos años de martirio.
Como hemos comentado en post anteriores, el “boom” de los alimentos funcionales es espectacular. Hoy en día, el mercado de estos productos factura casi 33.000 millones de dólares en todo el planeta y presenta una tendencia alcista. En España, el 40% de los hogares consumen de una u otra manera este tipo de alimentos. En Europa, los alimentos funcionales mueven un negocio que supera los 15.000 millones de euros…“la repera”.
Dos de los grupos de alimentos funcionales que más cuota de mercado han alcanzado son los archiconocidos probióticos y los no menos famosos prebióticos. En los primeros, la Microbiología es la reina, en los segundos, mi amada Química.
Tras años aguantando la opresión microbiológica de los probióticos basada principalmente en el Imperio Lactobacilo, la reina de todas las ciencias, la Química, ha servido para aupar a los prebióticos…y todo gracias a mi querida Agencia Europea de Seguridad Alimentaria (EFSA)…esos sí que saben.
Pero no empecemos la casa por el tejado no sea que estos microbiólogos, reyes de los géneros, las especies, las cepas, la cursiva, las mayúsculas, las minúsculas y demás zarandajas, se pongan nerviosos y manden una banda de bichitos a mi piscina arruinándome el verano.
Los probióticos son alimentos con microorganismos vivos adicionados que permanecen activos en el intestino y ejercen importantes efectos fisiológicos. Ingeridos en cantidades suficientes, se supone que tienen efectos muy beneficiosos, como contribuir al equilibrio de la flora bacteriana intestinal del huésped y potenciar el sistema inmunitario. Además, pueden atravesar el tubo digestivo y recuperarse vivos en las heces, pero también se adhieren a la mucosa intestinal.
Por todo ello, alimentos probióticos como yogures, leches fermentadas, zumos con leche, etc. se han recomendado para prevenir y ayudar a tratar enfermedades como la diarrea, el estreñimiento y exceso de gases, la enfermedad de Crohn, colitis ulcerosas… Además, diferentes trabajos muestran como los probióticos han sido recomendados para mejorar la digestión y estimular las defensas…hasta el irritado de mi colon creía que se calmaría con estos alimentos con bichitos.
Dentro de estos bichitos, perdón microorganismos, que reinan en el mundo probiótico, los Lactobacilos tienen un papel protagonista. Estos Lactobacilos, Lactobacilus o bacterias del ácido láctico (seguro que ya he metido la pata a la hora de nombrarlos) es un género de bacterias Gram positivas anaerobias facultativas, denominadas así debido a que la mayoría de sus miembros convierte lactosa y otros monosacáridos en ácido láctico.
Los Lactobacilos no solamente habitan en el cuerpo humano, sino que gracias al ambiente ácido provocado por la producción de ácido láctico inhiben el crecimiento de bacterias dañinas. Esto ha provocado que, además de que diferentes especies de Lactobacilos hayan sido empleadas industrialmente para la producción de yogur y otros alimentos fermentados, algunas bebidas de yogur contengan Lactobacilos como suplemento dietético.
Dentro de la pandilla de mequetrefes que forman parte del género Lactobacilos, y que tanto bien parece que hacen a la humanidad, destacan los conocidos L. acidophilus, L. bulgaricus, L. casei, L. delbrueckii, L. fermentum, L. gasseri, L. johnsonii, L. lactis, L. paracasei, L. plantarum, L. reuteri, L. rhamnosus y L. salivarius…¡¡una banda!!
Pues bien, los supuestos efectos beneficiosos de la introducción de esta banda de pequeños seres vivos en innumerables productos probióticos han dado lugar a que la gran empresa alimentaria, farmacéutica e incluso cosmética, realice campañas de marketing totalmente fuera de lugar con sensacionalistas slogans publicitarios… parecía que el hecho de introducir un “bichito” de estos lo curaba todo.
Pero la comunidad científica ya sospechaba que no era oro todo lo que relucía…y comenzaron las dudas. Se descubrió que ciertos microorganismos no sobrevivían dentro del alimento probiótico en cuestión durante el periodo de consumo recomendado del mismo, otros bichitos no eran capaces de llegar a la molécula diana donde debían cumplir su objetivo ya que morían por el camino, otros llegaban pero no eran capaces de realizar la misión recomendada… gentuzilla…
Sin embargo, la presión de las grandes multinacionales impidió un reglamento estricto que impidiera los sensacionalistas slogans publicitarios que durante años se han ido anunciando en el etiquetado de estos productos.
Afortunadamente, y tras duras batallas entre autoridades y multinacionales alimentarias, la cordura se impuso y se publicó el Reglamento 1924/2006 relativo a las declaraciones nutricionales y de propiedades saludables en los alimentos, el cual se ha ido actualizando periódicamente.
En ese Reglamento las condiciones para publicitar supuestas propiedades beneficiosas de un producto se endurecieron muchísimo, algunos dicen que demasiado, y los informes que las empresas alimentarias deben enviar a la EFSA para poder sacar al mercado un producto son tan exigentes que la mayoría de ellos no pasan la criba.
Pues bien, la EFSA acaba de hacer público, a través de su Panel de Expertos en Nutrición, Alergias y Dietéticos, un informe demoledor donde dictamina qué funciones han sido demostradas para ciertos microorganismos y compuestos químicos y cuáles no…y aquí le han dado “pa el pelo” a los microbiólogos y sus probióticos…y a los químicos y nuestros prebióticos nos han regalado los oídos gracias, entre otros compuestos, a nuestra princesa la fibra.
La EFSA ha concluido un estudio que empezó en el 2008 de las alegaciones saludables de cerca de 3.000 sustancias que la industria alimentaria ha usado o quiere usar para anunciar sus productos. Y el resultado es demoledor: prácticamente el 80% no estaba probado científicamente o eran tan generales que no se podían comprobar.
Leyendo detenidamente ese informe, y con una sonrisa de oreja a oreja, se puede observar como los Lactobacilos no han salido muy bien parados.
Una empresa de cuyo nombre no me quiero acordar (por ahora) pidió poder publicitar que la combinación en su producto estrella del L. reuteri combinado con el L. rhamnosus aumentaba…¡¡¡ la salud vaginal ¡!!. La petición fue rechazada por falta de pruebas.
Parecía que estos pendejos de los Lactobacilos también servían, ni más ni menos, para proteger a la piel frente a los rayos ultravioleta… ¿pero de qué vais? La EFSA ha dictaminado que no solamente no hay pruebas de que el amigo L. johnsonii no sirva para eso…sino tampoco para aumentar las defensas contra los microorganismos del sistema digestivo.
Otra empresa archiconocida intentó publicitar, con un par, que otro de la banda Lactobacilense (¿?), el L. rhamnosus, servía para mejorar “toda la salud digestiva”…La EFSA ha rechazado el expediente al considerar ese término demasiado “vago”…qué diplomáticos…claro que cuando otra empresa pidió que les dejaran anunciar que ese mismo bichejo, el L. rhamnosus, aumenta la mineralización de los dientes, la EFSA los echó a cajas destempladas.
Uno de los más queridos por la industria, el L. plantarum, también ha sido rechazado en mi querido informe. Eso de que ayuda a la digestión eliminando las flatulencias y la hinchazón…va ser que no.
Los seguidores del Imperio Lactobacilo confiaban en sus dos grandes estrellas…los famosos L. casei y L. fermentum…Pues la Agencia Europea de Seguridad Alimentaria, que en mi opinión se está jugando su integridad, ha sentenciado que estos dos microorganismos no han conseguido demostrar que disminuyan los microorganismos patógenos del sistema digestivo ni que reduzca la incomodidad de una digestión pesada.
Todos estos resultados han provocado una reacción inmediata de la industria alimentaria que se ha visto puesta en jaque. Para muestra un botón. Mi querida Danone, en un eterno enfrentamiento con la EFSA, ha visto como de nuevo le han dado calabazas.
El expediente rechazado de Danone buscaba vincular el Actimel, que contiene Lactobacillus casei con una reducción de las toxinas de Clostridium difficile en el intestino y por lo tanto una reducción de “la incidencia de diarrea aguda”. Danone presentó 18 estudios publicados y en vías de publicación para justificar dicho efecto del L. casei…pues la EFSA le ha contestado a la multinacional que… “si quieres arroz Catalina”…prohibiendo tal publicidad.
La EFSA rechazó el estudio señalando que los datos sobre las toxinas de C. difficile no eran concluyentes, que existían problemas metodológicos en los estudios, que los escenarios de la imputación de datos no eran lo suficientemente amplios, que los motivos del rechazo de los estudios de apoyo como la falta de controles eran pertinentes y que los estudios de biodisponibilidad no mostraban una reducción de las infecciones gastrointestinal o de los agentes patógenos gastrointestinales.
Lo reconozco…hemos jugado sucio. La misión de destrozar el Imperio Bactobacilo no era nada fácil por lo que tuve buscarme un aliado en un microorganismo que años atrás no le dejaron formar parte de dicho Imperio…el Streptococcus thermophilus.
Éste bichejo mediante artes muy dudosas logró sobornar a un Lactobacilo, el traidor L. delbrueckii, y ellos solos comenzaron la matanza. Como premio a su conspiración para derrocar a los Lactobacilos, la EFSA sí que admite que los yogures que contienen L. delbrueckii y otra bacteria, el Streptococcus thermophilus ayudan a las personas con intolerancia a la lactosa a digerir el producto.
Pero detrás de un Imperio derrotado siempre hay otro naciente…Cual intriga romana, los prebióticos, primos hermanos de los probióticos, han sido los verdaderos responsables de esta matanza bicheja.
Los alimentos prebióticos, otro grupo de alimentos funcionales que de siempre ha reconocido su ambición por derrocar a sus primos, se definen como ingredientes no digestibles que afectan beneficiosamente al organismo mediante la estimulación del crecimiento y actividad de una o varias cepas de bacterias en el colon, mejorando la salud.
Pero, aunque el objetivo final es el mismo que el de los probióticos, estimular el crecimiento y la actividad de bacterias beneficiosas para la flora intestinal, la estrategia seguida es distinta. Este segundo grupo de alimentos funcionales se deja de microorganismos, ni de bichejos ni de piojillos y se centra en la Química pura y dura, enriqueciendo los alimentos, generalmente, con hidratos de carbono no digestibles…entre los cuales destaca la gran triunfadora del informe de la EFSA…la fibra alimenticia.
Hoy no es día de elevar a los altares a la fibra sino de hundir a los Lactobacilos. Sin embargo, y a modo de recordatorio, les informo que en el informe de la EFSA han sido aceptadas proclamas publicitarias como que la fibra de la avena y la cebada de grano aumentan el volumen fecal o que la fibra de centeno beneficia la función intestinal.
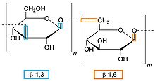
Además también se acepta que los beta-glucanos (polisacáridos de monómeros D-glucosa ligados con enlaces glucosídicos) de avena y cebada reducen respuestas glucémicas post-prandial cuando se consumen 4 g de beta-glucanos de avena o cebada por cada 30 g de hidratos de carbono disponibles, además de reafirmar el positivo dictamen previo sobre el colesterol.
La Agencia, rindiéndose a los compuestos químicos, confirma que el quitosano (polisacárido lineal compuesto de cadenas distribuidas aleatoriamente de β-(1-4) D-glucosamina y N-acetil-D-glucosamina) puede ayudar a mantener concentraciones normales de colesterol LDL en la sangre si se consumen a diario 3 g y, por último, que el arabinoxilano producido a partir del endospermo del trigo puede reducir la respuesta glucémica post-prandial si se consume por día 8 g de fibra rica en arabinoxilano.
En fin queridos amantes de los pequeños bichitos, llevaba mucho tiempo esperando este momento y la suerte me ha acompañado. Mi grupo de “novel foods” favorito, los alimentos funcionales, junto con la Agencia Europea de Seguridad Alimentaria, os ha hundido. Atrás quedan largas noches de insomnio estudiando innombrables microorganismos, suspensos por culpa de una cursiva, broncas por confundir géneros con especies o cepas…y aguantar a algún que otro microbiólog@ de “medio pelo”…
Antes de acabar este alegato reivindicando el triunfo de la Química frente a la Microbiología, quiero mandar un mensaje a una de mis multinacionales preferidas…El cerco se va estrechando. En un post anterior hablamos de los alimentos funcionales, hoy nos hemos centrado en los probióticos y en los Lactobacilos. Tangencialmente hemos nombrado al más famoso, el L. casei…pero esto solamente ha sido el comienzo…Tiembla Actimel porque aunque mi abuela, con 95 años y 15 hijos, diga que gracias a tomarse uno a la semana se encuentra hecha un toro, te tengo en el punto de mira…
Jose
Nota: Con este post participo en el BioCarnaval de Verano que este mes se alberga en el interesantísimo Blog“Jindetrés, sal” y en la VI Edición del Carnaval de la Química que se celebra en el espectacular Blog “Feelsynapsis».













Desde que vi tu anuncio en Twitter el sábado estoy esperando que llegue este momento MUA JA JA JA. Felicidades por la entrada ^_^! creo que incluso los microbiólogos están un poco hasta las… de tanto bombo con los probióticos, o por lo menos los biólogos que no trabajan para las grandes empresas como Dan… ejem ejem.
Hay estudios que advierten de la cantidad astronómica de probióticos que tienes que ingerir para notar una cierta mejora en tu tracto digestivo y/o defensas inmunitarias. Sin embargo las cantidades de de prebióticos que has nombrado, como los 8g de fibra, no me parecen tan absurdas y es algo que se puede llevar a la práctica. Un punto más para la Química que como siempre nos abre los ojos y nos salva el culo, y eso que lo mio es la genética (quizá por eso le tengo cariño).
Gracias!! Espero que no te haya defraudado la espera..jejeje.
Esos estudios los estoy recopilando para mi ataque definitivo…seré tan cruel como dice mi mujer?
Genética…mmm..interesante información..
Un saludo
Jose
Una vez mas felicidades Nicolás. Encuentro esto de 2012 en 2014. Noce si en tu país danone y otros relacionados con probioticos sean farmacéuticas o solo produce alimentos. Pero aclarame una duda. Supongamos que x probiotico o lactobacillo si realmente cura o coadyuva de alguna manera en la curación de por ejemplo el intestino irritable o del chronm o de la erradicación del h pylori. Quienes pierden y quienes ganan en billones de $us en caso de que los probioticos tengan los efectos que dicen tener. Las grandes farmacéuticas que con sus venenos que solo alivian los síntomas y ademas te generan otro malestar ademas de tener que tomar sus medicamentos toda la vida creandote dependencia, no creo que ellas ganen en caso de éxito de los probioticos. El fracaso de los probioticos significa el éxito de las transnacionales que seguirían envenenando a la gente con sus fármaco dependientes como un bien negocio. Existe razón para alegrarse por eso? Que piensas tu al respecto?
Buenas noticias!
Por fin la EFSA termina con las alegaciones del art. 13…ahora se supone que las empresas ya no tienen excusa para no aplicar la norma, ¿no?
Me alegro por la fibra, a mi los pros también me caían mal…¡embusteros! 😉
Un saludo.
Impostores!!
Gracias Alberto.
Un saludo
Lo que a primera vista parece un ataque en toda regla… al final se convierte en un tonteo de enamorados : P Voy a extenderme un poco, que el post lo merece…
Cuando la economía, la tele, saber vivir y la noria entran a hacer ciencia…esto es lo que ocurre. Actimel pretende luchar contra las toxinas de Clostridium difficile, y claro es que eso de «Clostridim» suena muy mal, una bacteria que produce colitis y que no aporta nada, además emparentada con la terrible C. botulinum y C. perfringens… Sin embargo nuestra amiga C. difficile es una comensal más las miles que existen, no hay que olvidar que en nuestro cuerpo hay más bacterias que células eucariotas, como comensal juega un papel importante, papel que admito a mi odiada ecología… mantener el estrés en un punto moderado y retirar nutrientes a patógenos oportunistas, además quizás también participe… ¡
educando a nuestro sistema inmunológico ! Pero, aquí lo que vende es buscar bacterias clásicas del yogurt…ponerlas en la etiqueta, y olvidarse. Por cierto para evitar la diarrea producida por C. difficile… lo mejor es un
transplante de materia fecal, ¡ con más C. difficile ! Pero un supositorio danone lleno de mierd… no vende.
Mientras toda la ciencia esté al servicio de la economía y la economía esté al servicio de la ignorancia ciudadana… Esto va a seguir pasando, y siempre habrá gente dispuesta a presentar estudios incompletos y maquillados para poder incluir en la etiqueta eso de «testado científicamente» Por eso agradezco que ayudes a eliminar las manzanas podridas del cesto.
Decía que empieza como un ataque y termina como un baile de enamorados peleados… y es que al final la química alimentaria está al servicio de las bacterias como bien indicas. Al final somos una enorme colonia de bacterias con consciencia…y cada vez somos más conscientes de ello. Igual que los microbiólogos deberían ser conscientes de que no se puede entender a las bacterias sin entender y amar a la química. Que somos bacterias y las bacterias son química. Un juego de enamorados en el que por mucho que nos odiemos no podemos vivir los unos sin los otros.
Gracias Raven,
Como te dije en Twitter impresionante comentario. Me gusta la gente que se documenta y escribe con argumentos. Un día te pedí que no cambiases nunca esa actitud y veo que por ahora no piensas hacerlo…enhorabuena.
Respecto al post lo que hay que tener claro es que las ramas de la ciencia deben interactuar entre ellas. La multidisciplinariedad es más que necesaria y ninguna sería nada si no se apoya en la otra.
Realmente sí, es una relación amor-odio propia de una pareja de enamorados…eres un crack!!
Saludos
Gran artículo, Jose.
No sé qué pensará de él nuestro exprofe de microbiología y divulgador centífico el Dr. ___ Da igual, tienes toda la razón. Me quedo con el comentario de Raven: al final es una historia de amor 😛
Otro tema relacionado y que puede dar para otra entrada es el envado de este tipo de productos ‘pseudobeneficiosos’. Envases pequeños, imitando sospechosamente a medidamentos, jerga psedocientífica, colores pasteles… además de que el precio es elevado. Sería muy pero que muy interesante un estudio doble ciegos con estos productos, sus imitadores barateros y un placebo. Hagamos un ejercicio mental… ¿Qué ocurriría?
En fin, no sigo más. Vuelvo a modo 1.0.
Un saludo!
Perdón por escribir tan tal. Estoy desde un teléfono móvil.
Es jodío eh?
Jeje
Gracias Dani. Pues ocurriría que no habría grandes diferencias entre el placebo y esas estafas…o a lo mejor sí porque el placebo no tiene efectos perjudiciales y esa basura es posible que los tenga…interesante tema a tratar.
PD: Nada más volver a la Facultad le enviaré el post a nuestro amigo el Dr….ya te diré si me ha mandado su tropa de bichitos…
Un saludo!!
Nombres, quiero nombres. 😛 A mi como me dio clase «Barbie Laboratorio» y me puso un sobresaliente con un 7.33 en el examen (y unas practicas inmaculadas) no lo pasé tan mal.
Felicidades gran entrada
Gracias Luis,
Un saludo
Nada como la venganza… si señor, esa ira acumulada durante años de desidia intentando aprender insufribles nombres…. como por ejemplo el de cualquier Molécula orgánica. No veo yo mucha diferencia entre β-(1-4) D-glucosamina o N-acetil-D-glucosamina y L. delbrueckii o L. fermentum…si señor…La ira, por lo común, ciega y traidora, como el orgullo… pero que a gusto te quedas…
…no obstante a mi lo del enriquecimiento de alimentos con hidratos de carbono no digeribles me parece otro tipo de sandez, quizá es que soy de pueblo, así que matizo:
1)Si tienes a tu alcance legumbres, frutas y verduras en tu tienda del barrio, muy ricas aunque sean verdes.
2)Si No padeces una patología con pauta médica.
3)Si en vez de quedarte en el sofá mirando la mierda de la tele o Internet, te vas a pasear, correr, ir en bicicleta o mover tu intestino y tu metabolismo celular.
…¡“Paqué”! te tienes que comer una barrita de fibra X “intestino felíz” o comprar el pan Y megafibrado (como el señor del gimnasio) ¡“pa qué”! .
De cualquier manera, me ha encantado tu post, hacia días que tenía yo ganas de enterarme por que habían desaparecido los letreros de los yogures…y mucho mejor un relato apasionado aunque sea de saña… y la saña sea de broma…o de odio amor como dice Raven. Aunque, a mi me da la sensación de que esto de los hidratos de carbono no digeribles (por lo menos los no sintéticos) mas que de “química pura y dura” es mas cosa de la bioquímica o de la biología molecular vegetal…(cada uno barre pa su casa).
Quería acabar con un refrán, que seguro conocéis: “Cuando veas los lactobacilus pelar pon los enriquecimientos prebióticos a remojar.”
un saludo
banchsinger
Gracias banchsinger…eres el amo,
Estoy de acuerdo contigo…en parte. Por supuesto que no harían falta ni pre ni pro ni nada por el estilo…pero si lleváramos una vida mas o menos decente…pero como analicé en el post sobre si son necesarios los alimentos funcionales…los últimos estudios en la población española reflejan que no seguimos ni una de las pautas necesarias. Entonces, si no tomamos fibra de sus fuentes naturales….es malo tomarla de los pre?pues aunque sea triste…no!!
Otra cosa…no entiendo cómo no le ves el encanto a β-(1-4) D-glucosamina..yo que pensaba ponerle ese nombre a una futura hija si alguna vez tengo otra…
Se me olvidaba…es cierto que el psot es más de «bioquímica» que de «química pura y dura» pero cuando yo hce la carrera de Químicas habían 4 especialidades…una de ellas la que escogí en la que sigo luchando: viva la BIOQUÏMICA!!
Muchas gracias por tu comentario…y recuerdos al señor del gimnasio…
Jose
Menos mal que mis «bichitos» no son estos y que no me dedico a la industria alimentaria aunque mi Dpto. sea Microbiología…. jejeje 😉
Mi más sincera enhorabuena Jose por esta entrada. Has sabido focalizar tu odio.
A lo añadido por Raven, poco más (un crack tío!).
Está claro que la ciencia en ocasiones (por no decir siempre) está enfocada hacia la industria y por tanto hacia la economía, que es lo que realmente mueve el mundo. Si a esto, le sumamos la ignorancia lógica en temas científicos (todo el mundo no tiene por qué saberlo todo), el marketing de algunos productos y el maquillaje y/o chanchullos burocráticos para sacar un producto a la luz, tenemos el cóctel definitivo.
Los consumidores buscan productos más saludables, que mejoren la calidad de vida y si pueden evitar o mejorar enfermedades, pues mejor. «Probiótico» ya suena moderno, tecnológicamente avanzado, saludable y como consecuencia, caro. Y como se ha dicho otras veces, la gente piensa que lo más caro es lo mejor. Supongo que la coletilla «científicamente comprobado» y el hecho de que fue un premio Nóbel de Medicina a principios de siglo el que introdujo el empleo de los fermentos lácticos en terapéutica para modificar la fermentación pútrida en el intestino, ayuda bastante a vender estos alimentos.
En realidad, no hay ningún estudio científico que lo demuestre. Como bien mencionas, no es la primera vez que se han emprendido acciones legales contra Danone por mentir a la hora de ensalzar las propiedades de sus productos (no sólo Actimel sino también del Activia. Sí, el yogur verde de Coronado). Por lo visto, en Reino Unido ya se denunció que la coletilla de “científicamente probado” del Actimel era “incierta” y en otros países, las campañas publicitarias de esta compañía ya tienen que andarse con ojo.
Por suerte contamos con organismos oficiales y con investigadores que odian la microbiología que velen porque las grandes multinacionales alimentarias no nos tomen el pelo. Que nos digan las cosas como son y luego con nuestro dinero seamos libres de comprar lo que nos plazca…. sabiendo lo que compramos.
Sobre los beneficios de la fibra, nada que objetar 😉
He echado de menos algún comentario sobre los ¿supuestos? beneficios del kefir, otro producto del imperio Lactobacilo, concretamente del Lactobacillus acidophilus. ¡Tiene una lista de propiedades innumerables!
Y ya puestos a desmontar a los lácteos … el Kaiku-Benecol, el más eficaz para reducir el colesterol (un 15% en dos semanas) bla bla bla… basa su milagro en la presencia de estanol vegetal. ¿Esto se consideraría Química? ¿Qué opinas de este producto?
Gran post, Jose. Superándote día a día.
Un abrazo.
Hay comentarios cuya respuesta merecería un post individual. Por ello he dejado esta respuesta para el final…Te doy la razón en casi todo lo que has comentado. Está claro que el desconocimiento del consumidor abre las puertas a que las campañas de marketing de la industria alimentaria hagan efectos devastadores.
A ello se le suman los intereses económicos de determinados sectores y, por qué no decirlo, los políticos. De hecho, el Reglamento sobre Health Claims tardó tanto en salir debido a la presión de determinados lobbys industriales sobre los principales partidos políticos europeos. De está forma, presionando a los partidos, consiguieron una gran demora para que se formalizase lo que habían propuesto los especialistas años atrás…muy fuerte!!
Del Kéfir otro lector ha comentado que a él le va muy bien en su lucha contra la enfemedad del Crohn por lo que hay que partir una lanza a su favor…Sin embargo, y si te das cuenta, la publicidad sobre este producto es muy limitada…no interesa a la gran industria porque «vende menos».
Del Actimel no te pienso decir nada ahora pero te adelanto que no solamente Danone ha sido multada en R.U. sino también en Alemania y otros países por publicidad encubierta o falsedad de información….pero siguen haciéndolo. ¿Sabes por qué? La multa es insignificante al lado de lo que ingresan por esas campañas…sin comentarios…
Por último has tocado uno de mis temas favoritos…los esteroles y estanoles. Hace años dí una conferencia sobre alimentos funcionales en mi ciudad, Murcia. Hablé de la margarina Pro Activ de Flora. Dije que presentaba ciertos beneficios indudables pero que hay colectivos que no deben consumirla como embarazadas, bebés y otros. Además, los esteroles inhiben la absorción de otros nutrientes por lo que su consumo debe ir acompañado de una dieta especial…Semanas más tarde recibí una carta de Unilever en términos muy amigables pero su contenido no me gustó…les contesté con informes científicos avalando todas mis palabras…no volví a saber de ellos…
La gran noticia es que la EFSA acaba de reconocer los beneficios de los esteroles (otro post en marcha) pero con condiciones…
Bueno desde el chiringuito poco más puedo decir. Gracias de veras por este comentario y espero seguir en contacto.
Un abrazo
Hola Jose,
Todo un honor que me dejes para el final (jejeje). No me queda clara la aparente contradición en cuanto al kéfir. Me explico: me llama poderosamente la atención que las empresas se gasten muchísimo más dinero en marketing y desarrollo de un producto que venden como profilaxis casi INDISPENSABLE para el bien del sistema digestivo y cuyos efectos más bien son dudosos, y sin embargo, un producto que parece ser eficaz frente a esto y muchas más cosas «no venda».
Respecto a los esteroles y estanoles. Ha cundido el pánico en casa cuando he abierto el frigorífico y he visto que (imagínate con qué frecuencia la tomamos que ni me acordaba de la marca) en la puerta tengo un hermoso envase de margarina Flora con aceite de oliva (aceites vegetales omega 3 y 6). Me gustaría saber por qué concretamente las embarazadas no deberían tomarla 😉 Uno compra estas cosas pensando que al llevar aceite de oliva son más sanas y mira….
Te agradezco especialmente que desde el chiringuito, robes tiempo de tu descanso y disfrute para contestar los comentarios del blog…. eso es profesionalidad jejeje.
¡¡¡Disfruta de tus vacaciones!!!!
Un abrazo
Bueno bueno, ya iba a reñirte por meterte con tus compañeros científicos pero he visto que todo el mundo ha pillado el tono de sorna y desahogo y la cosa no pasó a mayores. Hombre, sólo falta que ahora desluzcamos el trabajo de otras disciplinas, siendo todos como bien se ha comentado ya los mismos agregados de las mismas moléculas…
Un fantástico post, el complemento ideal sería alguien que diese un repaso a las falacias y exageraciones de los productos cosméticos. Recuerdo que el Copépodo hizo un buen trabajo en su (ahora dormido) bloj, pero nunca está de más hacer hincapié (cada vez que oigo en la tele lo de la «ciencia de los genes» y sale la chica pasándose el dedete por la frente…uf).
Genial aportación, esta última parte del biocarnaval está teniendo un nivel altísimo!! Y lo que queda!
Gracias Dr. Litos y piensa que jamás despreciaré a compañeros, y menos a los microbiólogos ya que en mi departamento se trabaja dia a dia con estos…energúmenos!!…jejeje…
Un abrazo
Pingback: La caída del Imperio Lactobacilo
Como microbiólogo voy a ignorar tu desprecio hacia la microbiología :oP (es coña), pero quiero puntualizar unas cosas:
-Es cierto que el marketing se ha pasado, pero bueno esto pasa con muchas cosas. Pero sí, han visto un filón y dentro de poco sacarán yogures para mejorar la memoria en los examenes.
– Lo de si la especie coloniza, o sobrevive o lo que sea, en parte es irrelevante: los estudios más recientes señalan que sólo hace falta una cosa: el DNA del bicho. Sí, es raro de cojones pero es así, y eso es algo que se tiene bastante claro: hace el mismo efecto el DNA sólo que el bicho entero.
– Los probióticos y los prebióticos funcionan (vamos a centrarnos en los probióticos): eso es así, el tema de la microbiota es un tema muy desconocido para los microbiólogos y a mi parecer muy apasionante, pero está bastante claro que ingerir bichos puede ser beneficioso ¿el problema? el marketing engañoso, no ya por las exageraciones y todo eso, la crítica más importante al actimel y similares es la siguiente: el actimel funciona vale, (aunque en realidad es yogur normal, pero bueno es que el yogur normal también funciona) pero si me tengo que beber 1 tonelada de actimel al día para que los dichosos bichos me colonicen.. apaga y vamonos. Y ese es el problema de estos productos, que deberían añadir una notita que pusiera ATENCIÓN, LA DOSIS DIARIA RECOMENDADA PARA QUE LOS EFECTOS SEAN OBSERVABLES ES DE 100 LITROS DIARIOS. Pero claro eso es antiventas xD
Y creo que quería decir más cosas pero se me han olvidado. Al final me ha salido un comentario un poco raro porque yo soy anti Actimel desde el principio (quien quiera actimel que tome yogur natural Hacendado que es lo mismo) pero casi parece que lo defiendo… en fin, saludos microbiológicos ;o)
De acuerdo al 100% contigo…como siempre!!
Un saludo
Releyendo mi anterior comentario he decidido que voy a sacar un nuevo yogur que tenga «ADN», que a fin de cuentas ya he dicho que es lo mismo y me forro por novedoso. Que el cuento del actimel la gente ya no se lo traga, pero si llego yo con mi yogur de ADN… lo dicho, me forro.
si dices que sale de «la ciencia de los genes» te forras como L’Óreal
La cosmética y el marketing…próximo objetivo…jejeje
Un saludo
Aceptas socios en tu yogur con ADN??
Un abrazo compañero
Aceptáis trios? yo también me apunto 😉
Pingback: La caída del Imperio Lactobacilo
De mi clase de microbiología oral también puedo decir que los lactobacilos son culpables del descenso de pH en la cavidad oral y facilitan los fenómenos de formación de placa bacteriana y sobre todo de caries por Streptococcus mutans y otros estreptococos…
Lo que faltaba!!
Gracias Sergio por tu información!!
Pingback: La caída del Imperio Lactobacilo | Conciénciame News!
Has perdido como lectores al grupo de Lactobacilus Indignados en el paro, que lo sepas.
Nada, soy un proyecto de microbiólogo y estoy totalmente de acuerdo contigo. Todo ese cuento chino de los alimentos probioticos es una patraña para vender yogures.
PD: ¿Acaso fuiste una de esas personas que le quedaba micro para acabar la carrera? Es broma. Genial post y gracias por la info.
No me la llegaron a suspender pero…casi casi…
Un saludo!!
Pingback: Twitted by zegnus
No son los microbiólogos, son los de marketing.
Está claro.
Un saludo
Pingback: La caída del Imperio Lactobacilo | Grace To You
Excelente el triunfo de los prebióticos sobre los probióticos!!! Por fin contamos con una entidad que se toma en serio los estudios para validar declaraciones nutricionales!
Lo importante no es quien gane…sino que haya alguien que los controle.
Un saludo
Resumen: Come frutas y verduras.
Es un resumen algo seco y que sale en los comerciales, pero es lo que todos sabemos que debemos hacer porque sus beneficios son físicos y psicológicos.
Un complemento sería: Todo lo dulce que no es fruta es golosina y no debería ser parte habitual de la alimentación. Así que si quieres proteínas mejor recurrir a la carne y huevos y no al yoghurt (especialmente el dulce) y una de las comidas que no deben fallar por sus minerales, proteínas, vitaminas, fibra y carbohidratos es el pan integral. Y como final, hacer ejercicio.
Sólo frutas y verduras? No Pencuá no!! Adereza un poco tu dieta…Un saludo y gracias!!
Te odio, adios a la inmortalidad… yo pensaba que con el actimel vencería a la muerte… NOOOOOOO! Te odio, te odio … esto es el fin, que será lo siguiente , que la margarina engorda, o que el vino tinto perjudica al hígado…. parad esto por Dios… no sabeis lo que haceis…. locos.
Quien te ha dicho a tí que la margarina no engorda??…jejeje…
Un saludo!!
Ingeridos en cantidades suficientes, se supone que tienen efectos muy beneficiosos, como contribuir al equilibrio de la flora bacteriana intestinal del huésped
Será del anfitrión, no del huésped.
Ok…y gracias!!
Pingback: La caída del Imperio Lactobacilo
Pingback: La caída del Imperio Lactobacilo | Noticias HMX
Muy buen post!! Estoy de acuerdo en que todas las campañas lanzadas por las grandes industrias químicas sobre los supuestos efectos beneficiosos de esos nuevos productos no siguen nada más que un interes comercial aprovechando la incultura general respecto a este tipo de microorganismos, puesto que un yogurt de toda la vida tiene los mismos efectos beneficiosos. Los alimentos prebioticos parece que si tienen un mayor efecto beneficioso para nuestro organismo, no por ellos mismos, claro esta, sino por todos esos Lactobacilos, E. coli y demas microorganismos de la flora intestinal, por lo que habría que matizar que la que sale victoriosa como siempre es la BIOQUÍMICA.
Un saludo.
La Bioquímica es una señora…por eso suele salir victoriosa…jejeje.
Un saludo y gracias!!
Hola,
Me ha parecido muy interesante tu artículo, pero no me ha gustado en algunos momentos como has despreciado o ridiculizado a los Microbiólogos. A los que hay que criticar son a los de marketing o a los altos cargos de las empresas. Cuando estaba en la facultad de biologia todos mis profesores de Microbiologia, ya se quejaban de este tema, que los Lactobacilos que están muy bien como flora intestinal pero como probiótico no valen un duro. Por lo que es algo que los Microbiólogos ya estábamos en desacuerdo hace tiempo.
Repito que me ha gustado mucho el artículo, ya era hora que saliera el tema a la luz (lástima que no vaya a salir en las noticias), pero no me ha gustado la forma de decirlo.
Como microbiólogo te puedo decir algunas cosas acerca del Actimel, que no es tan difícil de tumbar, hombre:
-En los sucesivos años de prácticas de la facultad (biología), siempre se ha hecho una práctica para aislar en placas de Petri lactobacilos de, entre otros, el Actimel famoso. De forma repetida, no se observan colonias en el medio específico, con lo que o bien NO HAY lactobacilos o ESTÁN MUERTOS.
–L. casei está en muy altos números en cualquier queso (de ahí el «casei», que significa queso), y nadie se ha vuelto loco con el queso. La cepa que usa Actimel, que ellos llamas «immunitas», en otros países se llama «defensis». Lo más probable es que sea una cepa normal y coriente, que de cualquier manera no han registrado en las colecciones taxonómicas por ser una propiedad industrial.
-Hace poco les prohibieron decir que mejoran las defensas. Se sabe que ciertas células (células N o M, creo recordar) de la pared intestinal fagocitan algunas bacterias para luego presentárselas al sistema inmunitario asociado a las mucosas. Pero ni un lactobacilo representa gran novedad ni creo que haga gran diferencia, puesto que ya hay muchísimas bacterias en nuestro intestino.
-Los miembros del género Lactobacillus son poco competitivos por el preciado bien de adherirse a la pared intestinal (es decir, por colonizar el intestino), con lo que se necesitan grandes cantidades para tener un impacto significativo. Sí se recomiendan en situaciones de flora disminuida para evitar que otras bacterias patógenas lleguen al intestino y se asienten. Es decir, reforzar la competencia a falta de otra flora. Lo de Actimel de enseñar agujeros en el intestino y los lactobacilos taponándolos es de risa.
Lo que hay que hacer es comer yogur y queso y dejarse de pagar por lo que ya abunda.
Por cierto, te habrás fijado que al Actimel, los bífidus y demás ya no los pueden llamar yogur, sino «leche fermentada», puesto que el yogur tiene dos y sólo dos fermentos: L. bulgaricus y S. thermophilus.
También se sabe que Bifidobacterium no resiste bien la acidez, con lo que al meterlo en un yogur al principio sí fermentará, pero luego morirá por la acción del resto de fermentos.
Ah, y reconocerás que decir que la fibra «aumenta el volumen fecal» es una perogrullada. Si no se digiere, sale en las heces sí o sí.
La industria alimentaria es muy poco científica, y eso no es nuevo. Sus estudios hechos ad hoc y publicados en oscuras revistas de difícil acceso, sumado a todo lo que se guardan como secreto industrial (incluso evitando registrar patentes porque son públicas) da mucho margen de sospecha.
Muchas gracias por la información valiosísima que has aportado….me has dado ideas para mis prácticas!!
Un saludo
Buen articulo, muy documentado y técnico. Totalmente de acuerdo con la basura del marketing y todo lo que busque el dinero por el dinero. Pero me gustaría dejar un aporte personal, soy enfermo de Crohn y durante años y años me he estado inflando y desinflando con productos químicos (literal) hasta que un día los mandé a la mierda y empecé a tomar Kefir (es, en resumen, una especie de yogur con muchas bacterias, todas naturales (no añadidas)). Desde entonces noté una mejoría, que con la suma de otras cosas me «devolvió» una vida normal.
Quiero dejar claras varias cosas, el Kefir me lo preparo yo, no tomo ninguno de esos productos comerciales (cada vez que veo un producto que dice que te hará cagar, colgaría a alguien) y no estoy en contra de la química. Solo quiero dejar constancia de que los probioticos pueden funcionar, por lo menos A MI y los «naturales».
Un saludo.
Gracias por el comentario y por la información que no has dado.
Suerte con el Crohn!!
Un saludo
Muy buen e interesante artículo. Sólo decir que me extraña no haber visto ningún enlace a la noticia en otros medios o en la propia EFSA.
La noticia ha salido publicada en el Pais y en Club Darwin…y tienes enlaces a ella en las Web de la Agencia Española de Seguridad Alimentaria y en la de la EFSA. Si necesitas información detallada mándame un mail y te la proporciono.
Un saludo.
Yo no necesito ningún estudio para saber que todos esos productos milagrosos son estafas puras y llanas. De toda la vida estoy viendo anuncios de elixires mágicos.
No generalices Pepe…
Un saludo
Buenísimo, sinceramente, buenísimo.
Me estoy escaqueando para poder leerte y no me da tiempo a los comentarios, pero te doy mi enhorabuena. Que arte tienes!
Gracias Verónica y cuidado no te pillen en tus escaqueos!!
Un saludo
En mi opinión, la gente no se ha comprado los Actimel y demás familia por tener este o aquel «bichito». Es simplemente la vieja y reiterada estrategia del miedo, y si no, mirad cualquier anuncio del citado producto. Parace que si no te tomas el dichoso Actimel no seras tú, sino TUS HIJOS (!!) los que sufran las consecuencias. Acojona eh?
El miedo y el márketing unidos pueden hacer mucho daño…pero no creo que sea «miedo» el término correcto.
Un saludo
Estoy deacuerdo con todo lo que se dice menos con que la microbiología es «una mierda» por decirlo de una forma resumida por lo que he leido. Con quien habría que meterse son con los de las industrias y los de marketing que son los manipuladores, pero me gustaría ver como estaría muhca gente sin la microbiología.
De todas formas un gran artículo.
Un saludo.
Estimados lectores,
Me acabo de quedar impresionado al observar que ayer Scientia recibió más de 12.000 entradas. Gracias a todo por visitarnos. Soy consciente que la gran mayoría de estas entradas han sido gracias a la divulgación que en determinados portales se ha hecho del post «La caída del Imperio Lactobacilo»… y lo agradezco de veras.
Repecto a los comentarios que he recibido estoy orgulloso de haber creado un profundo debate. Solamente me queda por decir una cosa dirigida a los lectores de este Blog que no son habituales. Si observáis las otras entradas, Scientia se caracteriza por un tono irónico y humorístico que le de un poco de «vidilla» a la ciencia. Los asiduos de este Blog han cogido a la primera la ironía con la que se habla de la Microbiología y, por tanto, de los microbiólogos. No solamente son compañeros de trabajo y de departamento sino en la mayoría de los casos grandes amigos, por lo que les ha encantado esta forma tan «particular» de arremeter contra ellos…por lo que el objetivo secundario del post ha sido cumplido con creces…El objetivo primorial no hace falta que lo explique…la industria alimentaria, a través de sus departamentos de márketing, unido al desconocimiento del consumidor, está haciendo mucho daño….ya era hora que organismos como la EFSA pusiesen las cosas en su sitio.
Un saludo a todos y gracias!!
Buenas, he llegado aquí tras un enlace desde meneame envíado por una persona en la que me decía «Mira cómo os ponen a los de Microbiología…» Así que he empezado a leer. Imagino que este odio no se refiere a la Microbiología Clínica (dónde yo trabajo) y dónde el trabajo fundamental es el diagnóstico de enfermedades infecciosas. Pero tb hay microbiológos trabajando en el control de alimentos y aguas..y creo que hay que romper una lanza en su favor. No se si estos trabajos están realmente avalados por gente con el título de Microbiología (al que se accede tras superar una residencia en un hospital con dicha especialidad) o gente de otras ramas con experiencia en este campo…en fin. Que estoy totalmente a favor de desmontar todas estas absurdas campañas, pero esas palabras de odio y microbiologos de medio pelo..pues me han parecido exageradas y quiero hablar tb en su favor. Un saludo.
Buen tema,felicidades.El efecto placebo existe y es probable que entre todos, incluyendo a los consumidores lleguemos a extender teorias falsas sobre alimentos. Ya se encargan las marcas de luchar por conseguir que les autorizen a publicitar unos efectos que sin pena ni gloria a quien realmente beneficia economicamente y en gran magnitud es a la mutinacional.Ocurren cosas incongruentes que vemos a diario ejemplo de ello el bollito de leche sano ,sin hablar de marcas, que contiene entre sus ingredientes manteca de cerdo y se pone en algunos hospitales para merendar.Entre todos nos lo comemos.Saludos
Gracias compañero.
Un saludo
Oye, oye, que yo soy químico y últimamente me dedico a transformar lactobacilos, son muy obedientes ellos, échale la culpa a los magnates avariciosos de las multinacionales pero deja quietas a las bacterias :P, ellas sólo se dedican a hacer lo que les mandamos.
Saludos 😉
Te has pasado al lado oscuro de la fuerza…jejeje. Más razón que un santo tienes.
Un saludo
Buenas, me ha encantado el artículo, salvo en la carga que se hace contra los microbiólogos. No se puede generalizar, pues la mayoría se ganan el pan honradamente.
Soy un ignorante que no tengo estudios ni químicos ni microbiológicos. Pero si hubiese sido alto ejecutivo de una empresa de productos lácteos también hubiese aprovechado para vender mi producto como el elixir de la juventud. Si, mientras no sea tóxico no hay que indemnizar a nadie, no hay nada que perder.
…Que años después se descubre la trampa, pues cambio el etiquetado, y me voy con mi Ferrari a mi mansión, a pensar otra artimaña inmoral pero no-ilegal que me permita seguir forrándome. Mientras, dejo que los químicos hablen pestes de los microbiólogos, y discutan en términos científicos que desconozco.
El ser humano está podrido, pero no son las bacterias, es el dinero.
Sin saber nada, en absoluto, de este mundo, cada uno sabe lo que su organismo acepta y le mejora y lo que no.
http://casaquerida.com/2011/08/11/el-monopoly-trucado/
Muy interesante artículo, es bueno que estas cosas se sepan más, lamentablemente no veremos mucho de esto en las noticias.
Mi mujer siempre está puteando contra las publicidades de productos de belleza, si tienes ganas mira las letras pequeñas que pasan por abajo para ver cómo estan testeadas las cosas que afirman! es de risa!! 😛
Como se nota que aquí entra gente instruida. Yo tuve que corregir en Twitter a tres que confundían Actimel con Danacol.
Pingback: de la red – 13/08/2011 | Notas tecnológicas
Estoy de acuerdo, no todo lo que brilla es oro, muy buen post :)… aunque no te parece que la «Química pura y dura» necesito ayuda de la Bioquímica?… pobre Bioquímica la dejan de lado, jaja
Pingback: La Bioquímica de los Gimnasios | SCIENTIA
Excelente blog, si señor.
Yo no soy de ciencias pero aunque sea tarde la busco porque la ciencia sólo busca la verdad.
¿Se puede aplicar la misma sospecha a los complementos para deportista del estilo de los aminoacidos, glutamina etc?
Gracias y un saludo.
Hola y gracias por entrar a Scientia,
en la entrada «La Bioquímica de los Gimnasios» tienes la respuesta.
Un saludo
Pingback: La batalla final de las sustancias estimulantes: el café y el té…y lo que nos dejó el “Katovit” | SCIENTIA
Pingback: La Buhardilla 2.0 Pograma 41: Muerte por Kiki | La Buhardilla 2.0
Enhorabuena por el post, me ha gustado ^^
No tendrás por ahí el enlace al informe de la EFSA
Muchas gracias.
Aquí tienes el enlace de los informes de la EFSA: http://www.efsa.europa.eu/cs/Satellite
Un saludo
Otro microbichologo por aqui.
Menos mal que despues has ido a tema, que mal nos has puesto, pero que conste que yo haria lo mismo con la micro clinica o similares… cosas mias.
Hace tiempo, cuando fue la noticia de la retirada del anuncio de Actimel en Reino Unido, escribi un post al respecto. La cuestion es que hay algunas evidencias (en ratas cuando yo investigue el tema) de que el Actimel y semejantes tengan algun efecto positivo en personas con desordenes intestinales como puede ser la diarrea causada por antibioticos pero no existe evidencia de efecto alguno sobre el sistema inmune o individuos sanos, que es lo que proclamaban las campañas publicitarias.
Si quieres echar un ojo,
http://elbacilosutil.blogspot.com/2009/10/actimel-y-falsos-beneficios.html
Un saludo.
PD: perdon por los acentos pero en Australia estan caros 😉
Hola!!Me he leido tu post…muy interesante y creo que lo usaré, con tu permiso, para algo que tengo en mente.
Un saludo
PD: Australia??
bueno, que lguien me explique si yo puedo tomar el actimel, o es mentir todo, ..por dios q tengo crhon…y no solo eso, es q tengo muchos ataquen de gases que me retuerzo viva… Merchi
En roedores está demostrado que estos microorganismos son buenos, en humanos no, pero tampoco son perjudiciales, yo tengo colitis ulcerosa y tomo probióticos y me van muy bien, saludos
Prodefen y movicol son medicamentos buenos para eso.
Pingback: Ni Power Balance, ni Actimel ni cremas con ADN « Ostias Como Panes
¡Hola! Tienes mi pingback ya que basé un trocito de mi entrada sobre productos «supuestamente» beneficiosos en este post tuyo que leí hace unos meses y vino a mi memoria el otro día.
Un abrazo y gracias por ese aporte tan crítico siempre.
Hola Anibal.Lo leí y me gustó mucho.
Gracias y hasta la próxima..que será aun más dura..XDD
Jose
Pingback: Ni Power Balance, ni Actimel, ni cremas con ADN | Hablando de Ciencia
Estoy de acuerdo en que los probióticos no son milagrosos, y también en que su acción beneficiosa sea dudosa, pero me gustaría ver un post como este pero sobre los antibióticos, que seguro que sería infinitamente más largo, química? si bueno…. mas bien tóxicos….
Pingback: Scientia: 1 año, 100 post | SCIENTIA
Pingback: El Imperio Lactobacilo contraataca: la “Global Alliance for Probiotics” | SCIENTIA
Gracias por vuestro interesante artículo sobre los probióticos, de los que hablo en mi post sobre Alimentación y salud: La dieta como medicina http://periodistia.blogspot.com.es/2012/03/alimentacion-y-salud.html
Pingback: Los alimentos prebióticos contribuyen a mantenernos sanos. « promoción integral de la salud
Nadie tiene la verdad absoluta al 100%. La mitad del articulo se corresponde con la realidad y la otra mita no. Como cuando discutes con tu mujer o la vida misma….
Ingestion of Lactobacillus strain regulates emotional behavior and central GABA receptor expression in a mouse via the vagus nerve.
Javier A. Bravoa,1, et al.
Laboratory of NeuroGastroenterology, Alimentary Pharmabiotic Centre, dSchool of Pharmacy, and Departments of ePsychiatry and gAnatomy, University College Cork, Cork, Ireland; bThe McMaster Brain–Body Institute, St. Joseph’s Healthcare, Hamilton, ON, Canada L8N 4A6; and Departments of cMedicine and fPathology and Molecular Medicine, McMaster University, Hamilton, ON, Canada L8S 4L8
Pingback: El romance entre la flor y el prebiótico | SCIENTIA
Hola Manuel, recién tu articulo en 2014. Nose cuantas cosas habrán cambiado!. Buscando información para curar los males que me aquejan es que me encontré con esto de los probioticos. No entiendo mucho acerca de tu alegría por encontrar fatalidades a estos productos. Yo supuse una alternativa en estos bichitos a los venenos que significan todos los demás remedios farmacéuticos.
Continuando…..
puesto que conoces del tema, quisiera hacerte algunas consultas:
– existe la posibilidad de que se puedan introducir en el organismo vía oral bacterias benéficas para el sistema digestivo o esta demostrado que no es posible aquello. Es decir, si las farmacéuticas quisieran producir y vender aquello en capsulas lo podrían hacer o definitivamente los probioticos son solo una fantasía?
– indicas en tu post que pocos productos pasan la criba de la EFSA, cuales son esos? Eso significa que esos productos si tienen resultados?
– padesco de colon irritable, los medicamentos para esto son carisimos, apenas calman los síntomas, obviamente como todo, NO CURAN, me afectan a la gastritis y apenas dejo de tomarlos los síntomas vuelven. Que alternativa a los venenos farmaceuticos tu me recomendarias para tratar esto sin probioticos.
Pingback: Si te van a dar una leche… ¿la quieres con o sin lactosa? | Scire Science
Gracias José por la manera tan amena de explicar el tema, soy ama de casa y deseo estudiar nutriología, y tu informativo y excelente texto han sido un punto de partida para mí, ahora sé que no debo perder de vista la química, un afectuoso saludo, seguiré de cerca tus blogs.
Hola hace unos días descubrí el blog porque me ha parecido interesante la forma de explicar algunas de las dudas que surgen en los consumidores sobre los alimentos. En primer lugar quiero felicitarlo y espero seguirlo en todas sus entradas. En segundo lugar tengo que decirle, que soy Dra. en Microbiología y amo profundamente esta disciplina. El estudio de los microorganismos y la investigación de los mismo ha logrado grandes avances en la historia del hombre. Sin embargo a pesar de que considero que es la ciencia más importante no discrimino a ninguna otra y creo que todas son necesarias y complementarias. No existe rivalidad entre ellas sino importantes sinergias que si se aprovechan convenientemente se pueden obtener resultados muy interesantes y beneficiosos para todos. Hagamos un esfuerzo por cooperar y compartir conocimientos por que creo que es la mejor forma de llegar lejos. Y por supuesto dar una información veraz y contrastada a los consumidores. Sin duda si se ha mitificado a las bacterias del género Lactobacillus ha sido un error, ya que si conoce su ecología son bacterias bastante sensibles y que necesitan unos requerimientos muy específicos para su crecimiento. La manipulación de información y publicidad engañosa son los responsables de las falsas espectativas creadas con respecto a un producto sobre el que no se ha demostrado su efecto sobre la salud o no se ha demostrado suficientemente. Sin embargo no le resta importancia a la acción individual de los microorganismos.
Creo que lo más positivo es utilizar la información de forma adecuada, permitir el avance de todas las ciencias y tomar de cada una lo mejor. Es mi opinión
Espero seguir aprendiendo con sus entradas.
Ahí, duro con esos cerdos de microbichologos, que puñetas se han creidos es que son… EY, un momento, yo soy un microbiologo!!!
Bueno, que decir, muy buena entrada. Y si, muchos microbiologos estabamos ya hartos de que usando falsa publicidad nos metieran en más de un brete microbiologos mercenarios de medio pelo, con estudios ad-hoc para complacer a la industria de turno. A ver si con blogs y entradas como estas, conseguimos que algo que sabe cualquier humilde microbiologo (de verdad) llegue a conocimiento de las masas.
Gracias por la informacion ,es de gran ayuda ala comunidad,y es una cachetada para la compañias que fabrican probioticos en pastillas la cuales mienten .demasiado.y enbaucan a mucha gente ., nuestra compañia trabaja con probioticos y emos desarrollado unos productos abase de probioticos ,con un exelente resultado el cual nuestras investigaciones emos tenido un exito al 100% que nos gustaria compartir con esta comunidad de este blok por que a nosotros tambien nos interesa la onestidad y mas que nada el saber la opinion de ustedes att bbs
En lugar de desarrollar productos a base de probióticos, tal vez debería haber usted desarrollado su educación general básica.
Al menos lo suficiente como para escribir un simple párrafo sin darle una paliza al diccionario cada dos palabras.
Le vendría mucho mejor para publicitar su producto. A lo mejor conseguiría que alguien lograra tomárselo en serio, ya sabe, dar credibilidad a alguien que dice haber desarrollado algo infalible (Habla usted de un 100% de éxito… Ahí es nada. Yo hubiera puesto un 110%, por si los escépticos…) y que a su vez sabe expresarse de forma escrita correctamente, en lugar de parecer un adolescente proveniente de las actuales reformas educativas, escribiendo a través de un móvil con el teclado dañado.
Aunque es tan sólo una sugerencia. No pongo en duda que su intestino debe ser toda una joya gracias a su maravilloso producto…
Muy interesante tu nota. Otra cosa que me hace ruido… porque se habla de los «cuatro venenos blancos»: lácteos, azúcar, harinas y sal.. Es tan así? ..te dejo la inquietud. .
Pingback: Prebióticos y probióticos: sus diferencias y los alimentos que los contienen | PUNILLA24hs
Entonces, segun tu opinión, no hay manera de intervenir sobre la flora intestinal, no es posible hacer una siembra tras toma de antibioticos, por ejemplo, o aumentar la cepa d los famosos gasseri pata afelgazar, o eliminar cepas patogenas, etc
Un saludo
Gracias